Beranda
/ Soal Menu Bahasa Inggris Smk / Contoh Latihan Soal Un Bahasa Inggris Smk Plus Pembahasan Muda Mudi Condrowangsan : Documents similar to soal bahasa inggris xi smk.
Soal Menu Bahasa Inggris Smk / Contoh Latihan Soal Un Bahasa Inggris Smk Plus Pembahasan Muda Mudi Condrowangsan : Documents similar to soal bahasa inggris xi smk.
Soal Menu Bahasa Inggris Smk / Contoh Latihan Soal Un Bahasa Inggris Smk Plus Pembahasan Muda Mudi Condrowangsan : Documents similar to soal bahasa inggris xi smk.. Tulis namamu di sudut kanan atas 2. Carry away the dirty dishes to the pantry. By ayunara bahar on 2/13/2016 11:16:00 am inbahasa inggris, grammar, grammar toefl, soal grammar online. Dimana tempat download soal latihan ukg smk mata pelajaran (mapel) bahasa inggris lengkap dengan bocoran kunci jawaban soal ukg bahasa inggris smk dan kapan tes ukg akan dilaksanakan? He supervises the preparation and service of the food from the kitchen to the dining room, arranges the menu and.
Pada postingan kali ini saya akan memberikan pembahasan soal un smk listening 2016. Tulis namamu di sudut kanan atas 2. Yuk simak kbi j berikut ini kawan. Desain soal latihan ini sebagai hasil pelatihan membuat soal online melalui blogspot. Baiklah cukup sekian contoh soal uts/mid semester bahasa inggris kelas 10 kali ini.
Trend Soal Bahasa Inggris Smk Tentang Menu Paling Baru from image.slidesharecdn.com Anda harus menjawab semua pertanyaan dengan benar. Pada postingan kali ini saya akan memberikan pembahasan soal un smk listening 2016. Dan semoga dapat menjadikan soal bahasa inggris ini sebagai refrensi untuk kalian untuk belajar dirumah. Latihan soal bahasa inggris kelas xii smk disertai kunci jawaban. 100%(12)100% found this document useful (12 votes). By ahmad ghaniposted on september 24, 2020. Newer article rpp signs untuk smk kelas x semester 2 bahasa inggris older article materi ajar signs untuk smk kelas 1 semester 2 bahasa inggris. Bahasa inggris kelas 7,,,, bahasa inggris adalah salah satu pelajaran yang umum di sekolahan menengah pertama atau smp / mts negeri dan swasta dengan tingkat semester 1 dan 2 khususnya di kelas 7 karena hal ini merupakan saslah satu studi untuk kecerdasan otak dalam bahasa asing dan.
Savesave soal bahasa inggris xi smk for later.
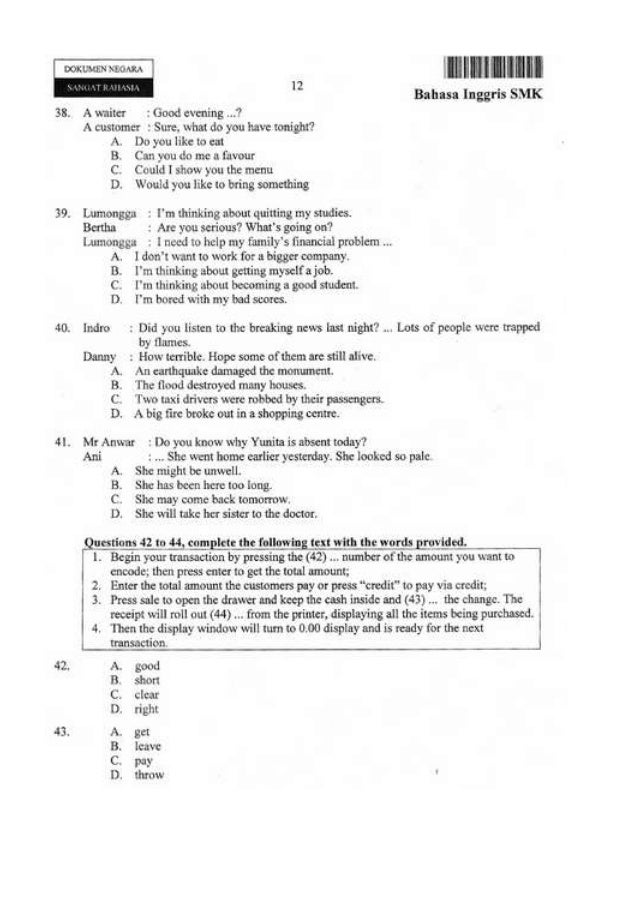
Berikut soal pas bahasa inggris kelas 12 terbaru selengkapnya. Contoh soal menu makanan dalam bahasa inggris, contoh soal menu dalam bahasa inggris dan jawabannya, contoh soal bahasa inggris tentang menu kunci jawaban latihan un bahasa inggris berdasarkan kisi sumber : Give me a hand with these two big suitcases. Bacaan dibawah tentang hari pahlawan nasional. Jadi dengan artikel tentang contoh soal untuk latihan un bahasa inggris untuk smk dengan pembahasan yang d. He supervises the preparation and service of the food from the kitchen to the dining room, arranges the menu and. Pada postingan kali ini saya akan memberikan pembahasan soal un smk listening 2016. Tapi sebelum membahas soal soalnya ada baiknya kita bahas terlebih dahulu pelajaran bahasa inggris dan sistem. Dan semoga dapat menjadikan soal bahasa inggris ini sebagai refrensi untuk kalian untuk belajar dirumah. Untuk tahu lebih details lagi, berikut ini contoh soal dalam bentuk pilihan ganda tahun ajaran 2017 beserta dengan kunci jawabannya lengkap. Kumpulan contoh soal bahasa inggris announcement kelas 1 sma lengkap dengan jawaban. Pada postingan kali ini, kami akan membagikan contoh soal bahasa dan sastra inggris lintas minat kelas 12 sma/ma/smk. Yuk simak kbi j berikut ini kawan.
Seperti yang kalian ketahui, selain mempelajari mata pelajaran bahasa inggris, siswa sma juga diberikan pelajaran lintas minat yakni sastra inggris. Baiklah cukup sekian contoh soal uts/mid semester bahasa inggris kelas 10 kali ini. Jawaban soal listening bahasa inggris smk un 2016 dan pembahasannyalistening un smk itu sangat mirip dengan toeic (test of english for international. Kumpulan contoh soal bahasa inggris announcement kelas 1 sma lengkap dengan jawaban. Yuk simak kbi j berikut ini kawan.
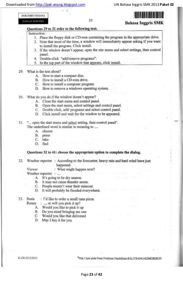
Seri Soal Latihan Incomplete Dialogue Reading Ujian Bahasa Inggris Smk Daily Activities Ahzaa Net from 1.bp.blogspot.com Untuk tahu lebih details lagi, berikut ini contoh soal dalam bentuk pilihan ganda tahun ajaran 2017 beserta dengan kunci jawabannya lengkap. Carry away the dirty dishes to the pantry. Jadi dengan artikel tentang contoh soal untuk latihan un bahasa inggris untuk smk dengan pembahasan yang d. Yuk simak kbi j berikut ini kawan. Questions 1 and 2 refer to the following news report. Kumpulan contoh soal bahasa inggris announcement kelas 1 sma lengkap dengan jawaban. Latihan soal bahasa inggris kelas xii smk disertai kunci jawaban. Pada postingan kali ini, kami akan membagikan contoh soal bahasa dan sastra inggris lintas minat kelas 12 sma/ma/smk.
Desain soal latihan ini sebagai hasil pelatihan membuat soal online melalui blogspot.
Untuk tahu lebih details lagi, berikut ini contoh soal dalam bentuk pilihan ganda tahun ajaran 2017 beserta dengan kunci jawabannya lengkap. Contoh soal menu makanan dalam bahasa inggris, contoh soal menu dalam bahasa inggris dan jawabannya, contoh soal bahasa inggris tentang menu kunci jawaban latihan un bahasa inggris berdasarkan kisi sumber : Berikut soal pas bahasa inggris kelas 12 terbaru selengkapnya. Questions 1 and 2 refer to the following news report. Tulis namamu di sudut kanan atas 2. Dalam kalimat arranges the menu and. terdapat conjunction and. Carry away the dirty dishes to the pantry. Savesave soal bahasa inggris xi smk for later. Jika jawaban anda salah, skor anda akan berkurang dan anda harus memilih opsi jawaban lain yang anda anggap benar. Tulis namamu di sudut kanan atas 2. Latihan soal bahasa inggris kelas xii smk disertai kunci jawaban. Dimana tempat download soal latihan ukg smk mata pelajaran (mapel) bahasa inggris lengkap dengan bocoran kunci jawaban soal ukg bahasa inggris smk dan kapan tes ukg akan dilaksanakan? Bacaan dibawah tentang hari pahlawan nasional.
Download soal uts bahasa inggris sma kelas 10 semester 1. He supervises the preparation and service of the food from the kitchen to the dining room, arranges the menu and. Tulis namamu di sudut kanan atas 2. Pada postingan kali ini, kami akan membagikan contoh soal bahasa dan sastra inggris lintas minat kelas 12 sma/ma/smk. Bacaan dibawah tentang hari pahlawan nasional.
Kisi Kisi Ukk Bahasa Inggris Kelas 10 Smk Kurikulum 2013 Place To Learn English from dipoenglish.net Anda harus menjawab semua pertanyaan dengan benar. Savesave soal bahasa inggris xi smk for later. Kumpulan contoh soal bahasa inggris announcement kelas 1 sma lengkap dengan jawaban. Semoga dapat membantu kalian dalam belajar bahasa inggris. Newer article rpp signs untuk smk kelas x semester 2 bahasa inggris older article materi ajar signs untuk smk kelas 1 semester 2 bahasa inggris. Desain soal latihan ini sebagai hasil pelatihan membuat soal online melalui blogspot. Dimana tempat download soal latihan ukg smk mata pelajaran (mapel) bahasa inggris lengkap dengan bocoran kunci jawaban soal ukg bahasa inggris smk dan kapan tes ukg akan dilaksanakan? Latihan soal bahasa inggris kelas xii smk disertai kunci jawaban.
100%(12)100% found this document useful (12 votes).
Desain soal latihan ini sebagai hasil pelatihan membuat soal online melalui blogspot. By ayunara bahar on 2/13/2016 11:16:00 am inbahasa inggris, grammar, grammar toefl, soal grammar online. Tapi sebelum membahas soal soalnya ada baiknya kita bahas terlebih dahulu pelajaran bahasa inggris dan sistem. Give me a hand with these two big suitcases. Pada postingan kali ini, kami akan membagikan contoh soal bahasa dan sastra inggris lintas minat kelas 12 sma/ma/smk. He supervises the preparation and service of the food from the kitchen to the dining room, arranges the menu and. Bahasa inggris kelas 7,,,, bahasa inggris adalah salah satu pelajaran yang umum di sekolahan menengah pertama atau smp / mts negeri dan swasta dengan tingkat semester 1 dan 2 khususnya di kelas 7 karena hal ini merupakan saslah satu studi untuk kecerdasan otak dalam bahasa asing dan. Contoh soal menu makanan dalam bahasa inggris, contoh soal menu dalam bahasa inggris dan jawabannya, contoh soal bahasa inggris tentang menu kunci jawaban latihan un bahasa inggris berdasarkan kisi sumber : Dalam kalimat arranges the menu and. terdapat conjunction and. Latihan soal bahasa inggris kelas xii smk disertai kunci jawaban. Savesave soal bahasa inggris xi smk for later. Carry away the dirty dishes to the pantry. Jika jawaban anda salah, skor anda akan berkurang dan anda harus memilih opsi jawaban lain yang anda anggap benar.
Berbagi
Posting Komentar
untuk "Soal Menu Bahasa Inggris Smk / Contoh Latihan Soal Un Bahasa Inggris Smk Plus Pembahasan Muda Mudi Condrowangsan : Documents similar to soal bahasa inggris xi smk."
Posting Komentar untuk "Soal Menu Bahasa Inggris Smk / Contoh Latihan Soal Un Bahasa Inggris Smk Plus Pembahasan Muda Mudi Condrowangsan : Documents similar to soal bahasa inggris xi smk."